外观
(六)函数设计
约 1482 字大约 5 分钟
项目管理编程指南devopsC++
2020-06-01
一、参数的规则
[规则6-1-1] 参数的书写要完整,不要贪图省事只写参数的类型而省略参数名字。如果函数没有参数,则用void填充。
[规则6-1-2] 参数命名要恰当,顺序要合理。
void StringCopy (char *str1,char *str2) ;
char *StringCopy(char *StrDestination,const char *StrSource)
一般地,应将目的参数放在前面,源参数放在后面。
[规则6-1-3] 如果参数是指针,且仅作输入用,则应在类型前加const, 以防止该指针在函数体内被意外修改。
[规则6-1-4] 如果输入参数以值传递的方式传递对象,则宜改用“const&” 方式来传递,这样可以省去临时对象的构造和析构过程,从而提高效率。
[建议6-1-1] 避免函数有太多的参数,参数个数尽量控制在5个以内。如果参数太多,在使用时容易将参数类型或顺序搞错。
[建议6-1-2] 尽量不要使用类型和数目不确定的参数。
二、返回值的规则
[规则6-2-1] 不要省略返回值的类型。
[规则6-2-2] 函数名字与返回值类型在语义上不可冲突。
[规则6-2-3] 不要将正常值和错误标志混在一起返回。正常值用输出参数获得,而错误标志用return语句返回。
[建议6-2-1] 有时候函数原本不需要返回值,但为了增加灵活性如支持链式表达,可以附加返回值。
[建议6-2-2] 如果函数的返回值是一个对象,有些场合用“引用传递”替换“值传递”可以提高效率。而有些场合只能用“值传递”而不能用“引用传递”,否则会出错。
三、函数内部实现的规则
[规则6-3-1] 在函数体的“入口处”,对参数的有效性进行检查。
[规则6-3-2] 在函数体的“出口处”,对return语句的正确性和效率进行检查。
注意事项如下:
(1) return语句不可返回指向“栈内存”的“指针”或者“引用”,因为该内存在函数体结束时被自动销毁。例如
(2) 要搞清楚返回的究竟是“值”、“指针” 还是“引用”。
(3) 如果函数返回值是一个对象,要考虑return语句的效率。例如
四、其他建议
[建议6-4-1] 函数的功能要单一,不要设计多用途的函数。
[建议6-4-2] 函数体的规模要小,尽量控制在50行代码之内。
[建议6-4-3] 尽量避免函数带有“记忆”功能。相同的输入应当产生相同的输出。
[建议6-4-4] 不仅要检查输入参数的有效性,还要检查通过其它途径进入函数体内的变量的有效性,例如全局变量、文件句柄等。
[建议6-4-5] 用于出错处理的返回值一定要清楚,让使用者不容易忽视或误解错误情况。
五、使用断言
断言assert是仅在Debug版本起作用的宏,它用于检查“不应该”发生的情况。下图是一个内存复制函数。在运行过程中,如果assert的参数为假,那么程序就会中止(一般地还会出现提示对话,说明在什么地方引发了assert)。

assert不应该产生任何副作用。所以assert不是函数,而是宏。程序员可以把assert看成一个在任何系统状态下都可以安全使用的无害测试手段。如果程序在assert处终止了,并不是说含有该assert的函数有错误,而是调用者出了差错,assert 可以帮助我们找到发生错误的原因。
[规则6-5-1] 使用断言捕捉不应该发生的非法情况。不要混淆非法情况与错误情况之间的区别,后者是必然存在的并且是一定要作出处理的。
[规则6-5-2] 在函数的入口处,使用断言检查参数的有效性(合法性)。
[建议6-5-1] 在编写函数时,要进行反复的考查,并且自问:‘“我打算做哪些假定?”一旦确定了的假定,就要使用断言对假定进行检查。
[建议6-5-2] 一般教科书都鼓励程序员们进行防错设计,但要记住这种编程风格可能会隐瞒错误。当进行防错设计时,如果“不可能发生”的事情的确发生了,则要使用断言进行报警。
六、引用与指针的比较
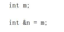
引用是C++中的概念,初学者容易把引用和指针混淆一起。一下程序中,n是m的一个引用(reference),m是被引用物(referent)。
n相当于m的别名(绰号),对n的任何操作就是对m的操作。
引用的一些规则如下:
(1) 引用被创建的同时必须被初始化(指针则可以在任何时候被初始化)。
(2) 不能有NULL引用,引用必须与合法的存储单元关联(指针则可以是NULL) 。
(3) 一旦引用被初始化,就不能改变引用的关系(指针则可以随时改变所指的对象)。
